A Lump-Integral Model Based Freezing and Melting of A bath Material Onto a Cylindrical Additive of Negligible Resistance
Abstract
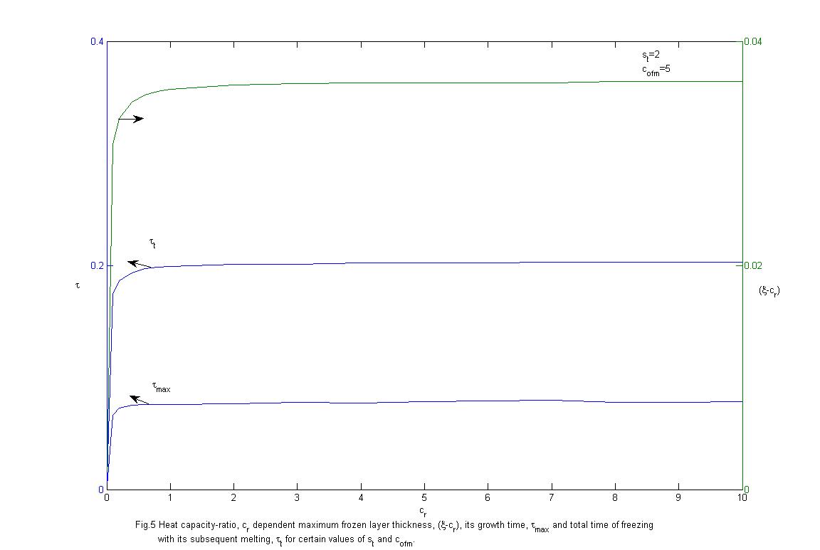
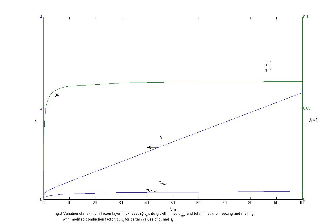
In a theoretical analysis, a lump-integral model for freezing and melting of the bath material onto a cylindrical additive having its thermal resistance negligible with respect to that of the bath is developed. It is regulated by independent non-dimensional parameters, namely the Stefan number, St the heat capacity ratio, Cr and the modified conduction factor, Cofm. Series solutions associated with short times for time variant growth of the frozen layer and rise in interface temperature between the additive and the frozen layer are obtained. For all times, numerical solutions concerning the frozen layer growth with its melting and increase in the interface temperature are also found. Time for freezing and melting is estimated for different values of Cr, St and Cofm. It is predicted that for lower total time of freezing and melting Cofm<2 or Cr<1 needs to be maintained. When the bath temperature equals the freezing temperature of the bath material, the model is governed by only Cr and St and gives closed-form expressions for the growth of the frozen layer and the interface temperature. For the interface attaining the freezing temperature of the bath material the maximum thickness of the frozen layer becomes
ξmax= (Cr)1/2(Cr+St)1/2. The model is validated once it is reduced to a problem of heating of the additive without freezing of the bath material onto the additive. Its closed-form solution is exactly the same as that reported in the literature.
References
R.P.Singh and A. Prasad , Mathl. Comput. Modelling, 37 (2003) 849-862.
S.Sanyal, S.Chandra, S.Kumar, G.G.Roy, ISIJ Int., 44 (2004) 1157-1166.
Q.Jiao and J.Themlis, Can. Metall. Q., 32 (1993) 75-83.
J. Li, G. Brooks and N. Provatas, Metall. Mater. Trans. B, 36B (2005) 293-302.
L. Pandelaers, F. Verhaeghe, D. Barrier, P. Gardin, P. Wollants and B. Blanpain, Ironmaking and Steelmaking, 37 (7) (2010) 516-521.
L. Pandelaers, F. Verhaeghe, B. Blanpain, P. Wollants and P. Gardin, Metall. Mater. Trans. B, 40B (2009) 676-684.
S.A. Arigyropoulos and R.I.L. Guthrie, Metall.Trans. B, 15 (1) B (1984) 47-58
S.A. Arigyropoulos and P.G. Sismansis, Metall. Trans. B, 22 (4) B (1991) 417-428.
S.A. Arigyropoulos and P.G. Sismansis, Steel Research, 68 (8) (1997) 345-354
S. Sanyal, S. Chandra and B.K.Jha, H.J.Billimoria, A. Choudhary and G.G.Roy, Tata Search, (2004) 190-199
B. Zhou, Y. Yang, M. A. Reuter, Extraction and processing division meeting of TMS, 16-20 June, Lulea, Sweden, 2002, p.527-537
R. Kumar, S. Chandra and A. Chatterjee, Tata Search, (1997) 78-85.
U. C. Singh, A. Prasad and Arbind Kumar, Metall. Mater. Trans. B, 42B (2011) 800-806.
R.P.Singh and A. Prasad, Ironmaking and Steelmaking, 32 (2005) 411-417.
U. C. Singh, A. Prasad, A. Kumar, J. Min. Metall. Sec. B- Metall., 48 (1) B (2012) 11-23.
M.N.Ozisik, Heat Transfer, A Basic Approach, McGrawHill, NewYork, 1985, P.101.
E.R.G. Eckert and R.M. Drake, Analysis of Heat and Mass Transfer, International Student edition McGrawHill Kogakusha, Tokyo, 1972.
A. P. Roday and M. J. Kazmierczak, Int. Rev. Chem. Eng., 1(1) (2009) 100-108.
A. P. Roday and M. J. Kazmierczak, Int. Rev. Chem. Eng., 1(1) (2009) 87-99.
A. Prasad and S.P. Singh, Transaction of the ASME, 116 (1994) 218-223.
A. Prasad, J. Spacecraft Rockets, 17 (1980) 474-477.
B.T.F. Chung and L.T.Yeh, J. Spacecraft Rockets, 12 (1975) 329-330
F. Kreith, Principles of Heat Transfer, 3rd edition, Intext Education Publishers, New York, USA, 1973.
Authors retain copyright of the published papers and grant to the publisher the non-exclusive right to publish the article, to be cited as its original publisher in case of reuse, and to distribute it in all forms and media.
The Author(s) warrant that their manuscript is their original work that has not been published before; that it is not under consideration for publication elsewhere; and that its publication has been approved by all co-authors, if any, as well as tacitly or explicitly by the responsible authorities at the institution where the work was carried out. The Author(s) affirm that the article contains no unfounded or unlawful statements and does not violate the rights of others. The author(s) also affirm that they hold no conflict of interest that may affect the integrity of the Manuscript and the validity of the findings presented in it. The Corresponding author, as the signing author, warrants that he/she has full power to make this grant on behalf of the Author(s). Any software contained in the Supplemental Materials is free from viruses, contaminants or worms.The published articles will be distributed under the Creative Commons Attribution ShareAlike 4.0 International license (CC BY-SA).
Authors are permitted to deposit publisher's version (PDF) of their work in an institutional repository, subject-based repository, author's personal website (including social networking sites, such as ResearchGate, Academia.edu, etc.), and/or departmental website at any time after publication.
Upon receiving the proofs, the Author(s) agree to promptly check the proofs carefully, correct any typographical errors, and authorize the publication of the corrected proofs.
The Corresponding author agrees to inform his/her co-authors, of any of the above terms.
