Experimental and thermodynamic description of ternary Bi-Cu-Ga system
Abstract
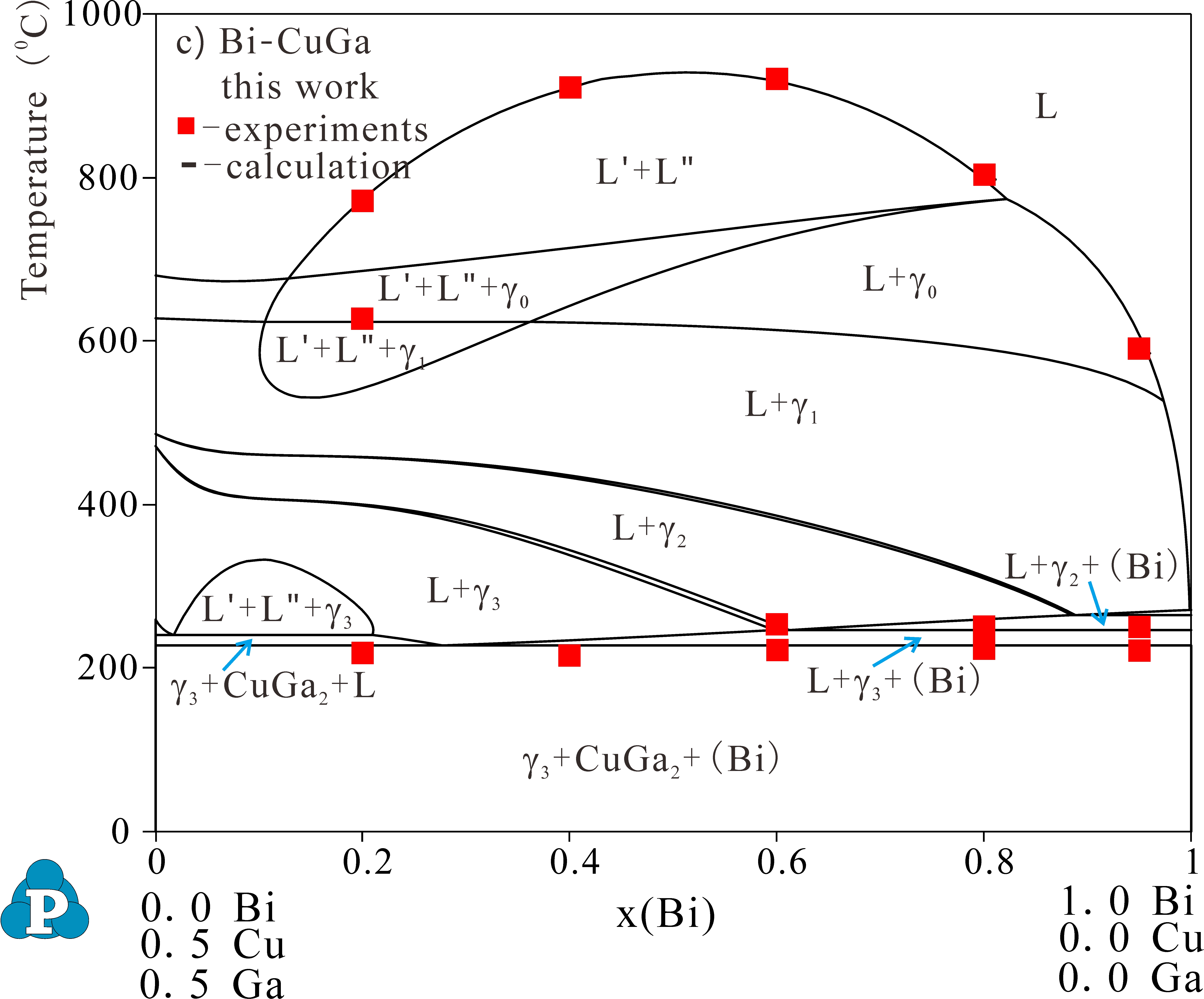
Phase diagram of the Bi-Cu-Ga ternary system has been investigated experimentally with 27 alloys and analytically by using a Calphad method. Thirteen annealed alloys at 200 °C were investigated by using scanning electron microscopy (SEM) with energy dispersive spectrometry (EDS), and X-ray powder diffraction (XRD) methods. Temperatures of phase transformation were determined with 14 alloys which are lying along three vertical sections Bi-Cu0.5Ga0.5, Cu-Bi0.5Ga0.5 and Ga-Bi0.5Cu0.5 by using differential thermal analysis (DTA). Based on the experimental result and by using Calphad method, ternary phase diagrams were constructed with a new description of liquidus phase. Calculated phase diagram and experimentally obtained results are in good agreement. Liquidus projection and invariant reaction were calculated by using new thermodynamic parameters for liquidus phase.
References
N. Saunders, A. P. Miodownik, CALPHAD (Calculation of Phase Diagrams): a comprehensive guide, in: R.W. Cahn (Ed.), Pergamon Materials Series, vol. 1, Elsevier Science Ltd., London, 1998.
L. Lukas, S. G. Fries, B. Sundman, Computational Thermodynamics: CALPHAD Method, Cambridge University Press, Cambridge, UK, 2007.
B. Sundman, U. R. Kattner, M. Palumbo, S. Fries, IMMI, 4(1) (2015) 1-15.
B. Sundman, B. Jansson, J.O. Andersson, Calphad, 9 (1985) 153–190.
W. Cao, S.-L. Chen, F. Zhang, K. Wu, Y. Yang, Y.A. Chang, R. Schmid-Fetzer, W.A.Oates, Calphad, 33 (2) (2009) 328–342.
G. P. Vassilev, K. I. Lilova, J. C. Gachon, J. Min. Metall. Sec. B., 43 (2) (2007) 141-150.
S. Semboshi, T. Takasugi, J. Alloys Comp., 580 (2013) 397-400.
M. Azimi, G. H. Akbari, J. Alloys Comp., 555 (2013) 112-116.
A. Kamegawa, T. Kuriiwa, M. Okada, J. Alloys Comp., 566 (2013) 1-4.
C. P. Samal, J. S. Parihar, D. Chaira, J. Alloys Comp., 569 (2013) 95-101.
D. Roy, M. A. Atwater, K. Youssef, J. C. Ledford, R. O. Scattergood, C. C. Koch, J. Alloys Comp., 558 (2013) 44-49.
D. Minić, M. Premović, V. Ćosović, D. Manasijević, Lj. Nedeljković, D. Živković, J. Alloys Comp., 617 (2014) 379-388.
D. Minić, M. Premović, V. Ćosović, D. Manasijević, D. Živković, A. Kostov, N. Talijan, J. Alloys Comp., 555 (2013) 347-356.
D. Minić, D. Manasijević, V. Ćosovic, N. Talijan, Ž. Živković, D. Živković, M. Premović, J. Alloys Comp., 517 (2012) 31-39.
I. Marković, S. Nestorović, B. Markoli, M. Premović, S. Šturm, Mater. Sci. Eng. A, 658(2016) 393–399.
D. Gurešić, N. Talijan, V. Ćosović, D. Milisavljević, A. Đorđević, M. Tomović, M&ME, 22 (3) (2016) 179-191.
C. Girard, Thesis, University of Provence, Marseille, 1985.
O. Teppo, J. Niemela, P. Taskinen, Thermoch. Acta 173 (1990) 137-150.
J. B. Li, L. N. Ji, J. K. Liang, Y. Zhang, J. Luo, C. R. Li, G. H. Rao, Calphad, 32 (2008) 447-453.
S. K. Halder, G. Sen, Acta Crystallogr. A, 31 (1975) 158-159.
C. S. Barrett, Australian J. Phys., 13 (1960) 209-222.
B. D. Sharma, J. Donohue, Z. Kristallogr. Krist.,117 (1962) 293-293
B. Cockayne, G.V. Raynor, Proceedings of the Royal Society of London, Series A(1961) 175-188.
F. Weibke, Z Anorg Allg Chem., 220 (1934) 293-311
R. Stokhuyzen J.K. Brandon P.C. Chieh, W.B. Pearson, Acta Crystallogr. B, (1974) 2910-2911.
U. Mizutani, T. Noritake, T. Ohsuna, T. Takeuchi, Philos Mag., (2010) 1985-2008.
M. El Boragy, K. Schubert, Z. Metallkd., 63 (1972) 52-53.
A. T. Dinsdale, SGTE data for pure elements, Calphad, 15 (1991) 317-425.
O. Redlich, A. T. Kister, Ind. Eng. Chem., 40(1948) 345-348.
Y. Du, R. Schmid-Fetzer, H. Ohtani, Z. Metallkd., 88(1997) 545-556.
Authors retain copyright of the published papers and grant to the publisher the non-exclusive right to publish the article, to be cited as its original publisher in case of reuse, and to distribute it in all forms and media.
The Author(s) warrant that their manuscript is their original work that has not been published before; that it is not under consideration for publication elsewhere; and that its publication has been approved by all co-authors, if any, as well as tacitly or explicitly by the responsible authorities at the institution where the work was carried out. The Author(s) affirm that the article contains no unfounded or unlawful statements and does not violate the rights of others. The author(s) also affirm that they hold no conflict of interest that may affect the integrity of the Manuscript and the validity of the findings presented in it. The Corresponding author, as the signing author, warrants that he/she has full power to make this grant on behalf of the Author(s). Any software contained in the Supplemental Materials is free from viruses, contaminants or worms.The published articles will be distributed under the Creative Commons Attribution ShareAlike 4.0 International license (CC BY-SA).
Authors are permitted to deposit publisher's version (PDF) of their work in an institutional repository, subject-based repository, author's personal website (including social networking sites, such as ResearchGate, Academia.edu, etc.), and/or departmental website at any time after publication.
Upon receiving the proofs, the Author(s) agree to promptly check the proofs carefully, correct any typographical errors, and authorize the publication of the corrected proofs.
The Corresponding author agrees to inform his/her co-authors, of any of the above terms.
