Electrochemical corrosion of Al-Pd alloys in HCl and NaOH solutions
Abstract
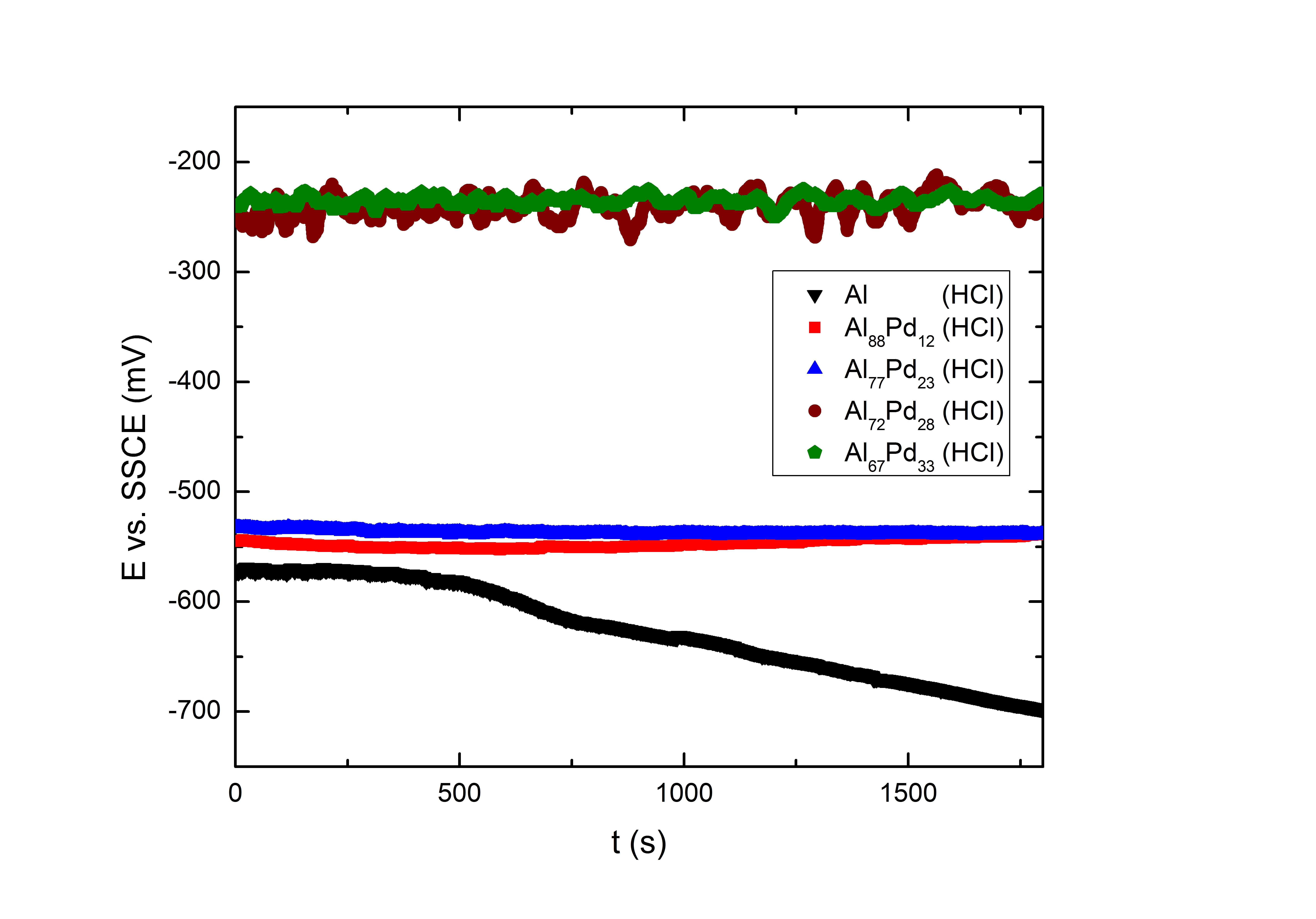
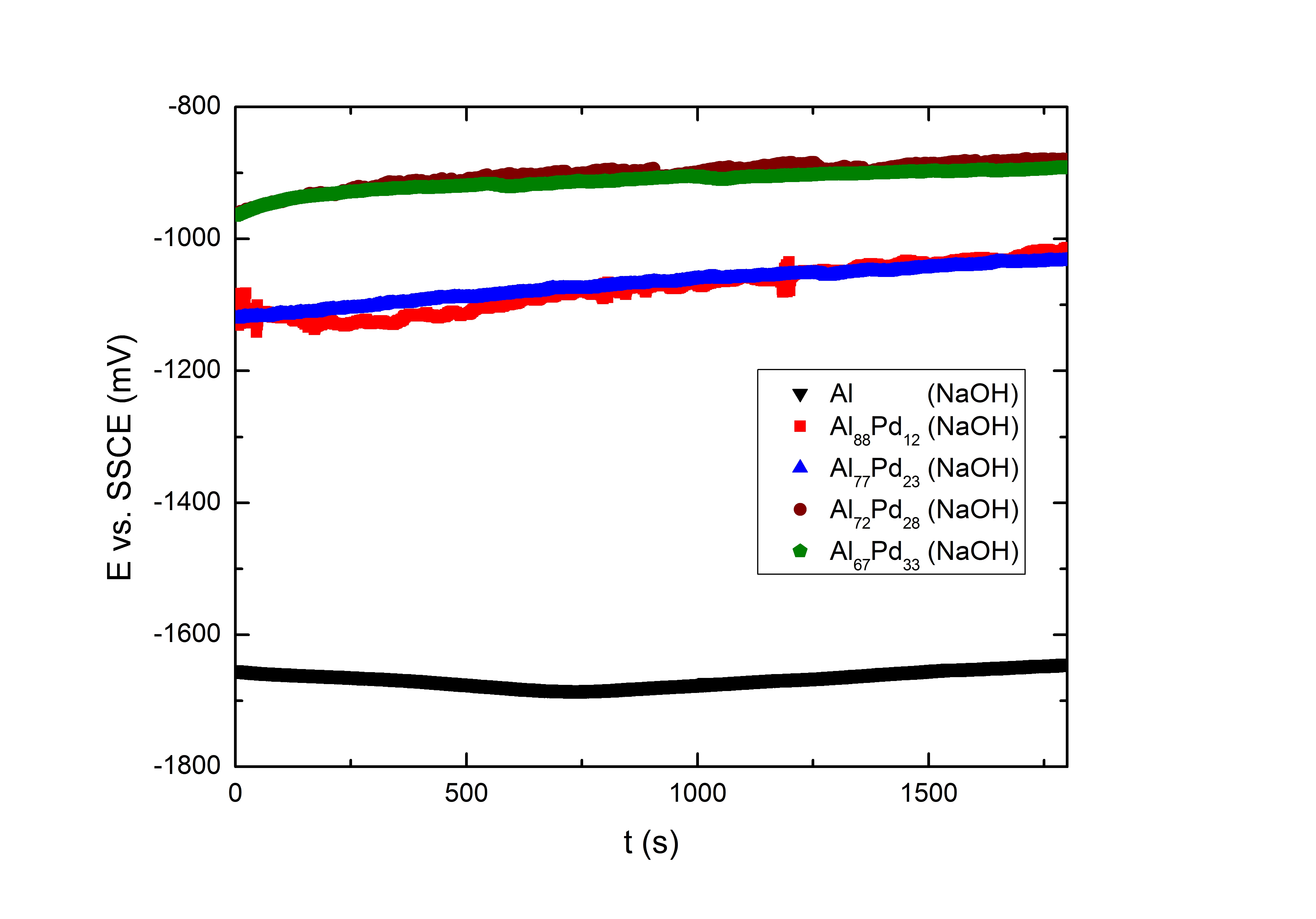
The corrosion performance of as-solidified Al–Pd alloys in HCl and NaOH aqueous solutions is investigated in this work. Four different alloys (Al88Pd12, Al77Pd23, Al72Pd28 and Al67Pd33, element concentrations are given in at.%) were prepared from high purity Al and Pd lumps by arc–melting in Ar. Subsequently, the alloy microstructure and phase occurrence were investigated by a combination of scanning electron microscopy and room-temperature X–ray diffraction. The as-solidified Al–Pd alloys were found to consist of several single-phase microstructure constituents with various structures and chemical compositions, including structurally complex intermetallic phases. The polished surfaces of the Al–Pd alloys were subjected to electrochemical polarization in aqueous HCl and NaOH solutions (0.01 mol.dm-3) at 21±2°C. The corrosion experiments were conducted in a standard 3–electrode cell controlled by potentiostat. The corrosion potentials and corrosion current densities were determined by Tafel extrapolation of the experimental polarization curves. Phase dissolution has been observed on the alloy surfaces and some of the phases were preferentially corroded. The effects of the alloy microstructure and the phase occurrence are evaluated. The local nobility of individual intermetallic compounds is discussed. Finally, the conclusions for the alloys corrosion performance in acidic and basic solutions are provided.
References
J. M. Dubois, Chem. Soc. Rev., 41 (2012) 6760–6777.
B. Grushko, J. Alloy. Compd., 557 (2013) 102–111.
L. Ďuriška, I. Černičková, R. Čička, J. Janovec, J. Phys. Conf. Ser., 809 (2017) 012008.
A. Smontara, I. Smiljanić, A. Bilušić, B. Grushko, S. Balanetskyy, Z. Jagličić, S. Vrtnik, J. Dolinšek, J. Alloy. Compd., 450 (2008) 92–102.
J. Hafner, M. Krajčí, Acc. Chem. Res., 47 (2014) 3378−3384.
V. A. Drozdov, P. G. Tsyrulnikov, V. V. Popovskii, N. N. Bulgakov, E. M. Moroz, T. G. Galeev, React. Kinet. Catal. Lett., 27 (1985) 425–427.
V. Johánek, I. Stará, V. Matolín, Surf. Sci. 507–510 (2002) 92–98.
K. S. Chang, X. Peng, J. Indus. Eng. Chem., 16 (2010) 455–460.
A. Lekatou, A. K. Sfikas, C. Petsa, A. E. Karantzalis, Metals, 6 (2016) 3.
M. Palcut, P. Priputen, K. Šalgó, J. Janovec, Mater. Chem. Phys., 166 (2015) 95–104.
M. Palcut, P. Priputen, M. Kusý, J. Janovec, Corros. Sci. 75 (2013) 461–466.
A. Lekatou, A. K. Sfikas, A. E. Karantzalis, D. Sioulas, Corros. Sci. 63 (2012) 193–209.
E. Huttunen–Saarivirta, T. Tiainen, Mater. Chem., Phys., 85 (2004) 383–395.
Y. Massiani, S. Ait Yaazza, J. P. Crousier, J. M. Dubois, J. Non–Cryst. Solids, 159 (1993) 92–100.
A. Rüdiger, U. Köster, J. Non–Cryst. Solids, 250–252 (1999) 898–902.
A. Beni, N. Ott, E. Ura–Bińczyk, M. Rasinski, B. Bauer, P. Gille, A. Ulrich, P. Schmutz, Electrochim. Acta, 56 (2011) 10524–10532.
E. Ura–Binczyk, N. Homazava, A. Ulrich, R. Hauert, M. Lewandowska, K. J. Kurzydlowski, Corros. Sci., 53 (2011) 1825–1837.
Q. Zhang, Z. Zhang, Phys. Chem. Chem. Phys., 12 (2010) 1453–1472.
L. Ďuriška, M. Palcut, M. Špoták, I. Černičková, J. Gondek, P. Priputen, R. Čička, D. Janičkovič, J. Janovec, Microstructure, phase occurrence and corrosion behaviour of selected Al–Pd alloys, submitted to Journal of Solid State Electrochemistry (March 1, 2017).
J. Erlebacher, M. J. Aziz, A. Karma, N. Dimitrov, K. Sieradzki, Nature, 410 (2001) 450–453.
Z. Zhang, Y. Wang, Z. Qi, W. Zhang, J. Qin, J. Frenzel, J. Phys. Chem. C 113 (2009) 12629–12636.
X. Wang, W. Wang, Z. Qi, C. Zhao, H. Ji, Z. Zhang, Electrochem. Commun. 11 (2009) 1896–1899.
B. N. Popov, Corrosion Engineering Principles and Solved Problems, Elsevier, New York, 2015, pp. 29–92.
R. G. Kelly, J. R. Scully, D. W. Shoesmith, R. G. Buchheit, Electrochemical Techniques in Corrosion Science and Engineering, Marcel Dekker, New York, 2003, pp. 29–92.
Authors retain copyright of the published papers and grant to the publisher the non-exclusive right to publish the article, to be cited as its original publisher in case of reuse, and to distribute it in all forms and media.
The Author(s) warrant that their manuscript is their original work that has not been published before; that it is not under consideration for publication elsewhere; and that its publication has been approved by all co-authors, if any, as well as tacitly or explicitly by the responsible authorities at the institution where the work was carried out. The Author(s) affirm that the article contains no unfounded or unlawful statements and does not violate the rights of others. The author(s) also affirm that they hold no conflict of interest that may affect the integrity of the Manuscript and the validity of the findings presented in it. The Corresponding author, as the signing author, warrants that he/she has full power to make this grant on behalf of the Author(s). Any software contained in the Supplemental Materials is free from viruses, contaminants or worms.The published articles will be distributed under the Creative Commons Attribution ShareAlike 4.0 International license (CC BY-SA).
Authors are permitted to deposit publisher's version (PDF) of their work in an institutional repository, subject-based repository, author's personal website (including social networking sites, such as ResearchGate, Academia.edu, etc.), and/or departmental website at any time after publication.
Upon receiving the proofs, the Author(s) agree to promptly check the proofs carefully, correct any typographical errors, and authorize the publication of the corrected proofs.
The Corresponding author agrees to inform his/her co-authors, of any of the above terms.
